无需联网、完全本地运行,支持中英日韩等多语言歌词生成高质量音乐 —— 开源项目 HeartMuLa 正式发布!
如果你一直在寻找一个免费、开源、可离线运行的 AI 音乐生成工具,那么由社区推出的 HeartMuLa 项目绝对值得关注。它被许多用户称为“开源版 Suno”,不仅能根据歌词和风格标签自动生成完整歌曲,还支持中文、英文、日语、韩语、西班牙语等多种语言,且全部模型均可本地部署,保护你的创作隐私。
本文将手把手带你完成 HeartMuLa 的完整安装与使用流程,即使是新手也能轻松上手!

什么是 HeartMuLa?
HeartMuLa 是一套开源的音乐基础模型系列,包含多个协同工作的组件:
- HeartMuLa:核心音乐语言模型,可根据歌词 + 风格标签生成高质量音乐(当前开源版本为
oss-3B)。 - HeartCodec:高保真音频编解码器(12.5 Hz),确保生成音频细节丰富、音质清晰。
- HeartTranscriptor:基于 Whisper 改进的歌词转录模型,可将人声准确还原为文本。
- HeartCLAP:音频-文本对齐模型,实现跨模态检索与音乐语义理解。
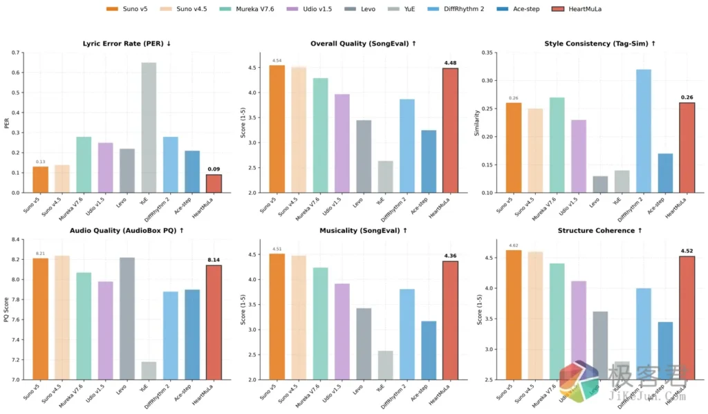
实验表明,
HeartMuLa-oss-3B 在多项指标上已接近甚至超越部分闭源商业模型。部署前准备:必备环境
在开始之前,请确保你的系统已安装以下工具:
| 工具 | 版本建议 | 下载链接 |
|---|---|---|
| Git | 最新版 | https://git-scm.com |
| Python | 3.10(官方推荐) | Python 官网 |
| Conda | 推荐 Miniconda(轻量) | Miniconda 下载 |
⚠️ 注意:
- 不要使用 Python 3.13,目前多数 AI 项目对其兼容性较差。
- 安装 Conda 时务必勾选 “Add to PATH”,否则后续命令无法识别。
- 安装完成后,在终端执行
conda --version确认是否成功。
本地部署步骤
第一步:克隆代码仓库
打开终端(Windows 用户可用 PowerShell 或 CMD),执行
git clone https://github.com/HeartMuLa/heartlib.git
cd heartlib
第二步:创建并激活虚拟环境
conda create -n heartmula python=3.10
conda activate heartmula
pip install -e .
-e 参数表示“可编辑模式”,方便后续更新代码。
第三步:下载预训练模型(需科学上网)
提示:由于模型托管在 Hugging Face,中国大陆用户需科学上网
在
heartlib 根目录下创建 ckpt 文件夹,然后依次下载模型:# 创建模型目录
mkdir ckpt
# 下载主生成模型
hf download HeartMuLa/HeartMuLaGen --local-dir ./ckpt
# 下载 oss-3B 模型权重
hf download HeartMuLa/HeartMuLa-oss-3B --local-dir ./ckpt/HeartMuLa-oss-3B
# 下载音频编解码器
hf download HeartMuLa/HeartCodec-oss --local-dir ./ckpt/HeartCodec-oss
🔧 若未安装huggingface-hubCLI,先运行:pip install huggingface-hub
下载完成后,
./ckpt 目录结构应如下:ckpt/
├── HeartCodec-oss/
├── HeartMuLa-oss-3B/
├── gen_config.json
└── tokenizer.json
├── HeartCodec-oss/
├── HeartMuLa-oss-3B/
├── gen_config.json
└── tokenizer.json
生成你的第一首 AI 音乐!
准备歌词与风格标签
在
./assets/ 目录下创建两个文件:lyrics.txt:填写带段落标记的歌词(支持中英文)tags.txt:用逗号分隔的风格标签(不要加空格)
示例歌词(lyrics.txt):
[Intro]
[Verse]
The sun creeps in across the floor
I hear the traffic outside the door
The coffee pot begins to hiss
It is another morning just like this
[Prechorus]
The world keeps spinning round and round
Feet are planted on the ground
I find my rhythm in the sound
[Chorus]
Every day the light returns
Every day the fire burns
We keep on walking down this street
Moving to the same steady beat
It is the ordinary magic that we meet
[Verse]
The hours tick deeply into noon
Chasing shadows,chasing the moon
Work is done and the lights go low
Watching the city start to glow
[Bridge]
It is not always easy,not always bright
Sometimes we wrestle with the night
But we make it to the morning light
[Chorus]
Every day the light returns
Every day the fire burns
We keep on walking down this street
Moving to the same steady beat
[Outro]
Just another day
Every single day
示例标签(tags.txt):
piano,happy,wedding,synthesizer,romantic
运行生成命令
python ./examples/run_music_generation.py --model_path=./ckpt --version="3B"
默认输出路径为 ./assets/output.mp3,你也可以自定义参数:
| 参数 | 说明 | 默认值 |
|---|---|---|
--lyrics |
歌词文件路径 | ./assets/lyrics.txt |
--tags |
风格标签文件路径 | ./assets/tags.txt |
--save_path |
输出音频路径 | ./assets/output.mp3 |
--max_audio_length_ms |
最大音频长度(毫秒) | 240000(4分钟) |
--topk |
Top-k 采样 | 50 |
--temperature |
生成温度 | 1.0 |
--cfg_scale |
无分类器引导强度 | 1.5 |
--version |
模型版本 | 3B(7B 尚未开源) |
常见报错:
如果提示ModuleNotFoundError: No module named 'triton',请手动安装:pip install triton
新手友好方案:ComfyUI 可视化界面

🔗 工作流模板下载地址:【点击前往】
总结
HeartMuLa 的开源,标志着高质量 AI 音乐生成真正走向去中心化与本地化。无论你是音乐创作者、AI 爱好者,还是希望探索 AIGC 边界的开发者,都可以:
- 完全离线运行,无需依赖云端 API;
- 免费商用(请遵守项目 LICENSE);
- 支持中文创作,打破语言壁垒;
- 模块化设计,便于二次开发。
现在就动手部署,让你的歌词变成动听旋律吧!
© 版权声明
THE END












