排序
保姆级教程:三步解锁 Chrome 内置 Gemini AI 功能(支持 Win/Mac)
近日,谷歌官方宣布为 Chrome 浏览器带来一项革命性功能——Gemini in Chrome。这一基于最新 Gemini 3 系列模型 的 AI 侧边栏,不仅能理解上下文、跨标签页执行多任务,还能自动浏览网页完成...
OpenClaw爆火的AI自动化神器!零门槛部署本地 AI 助手:Clawdbot/Meltbot 部署深度保姆级教程
前言:为什么选择 Clawdbot (Moltbot)?Clawdbot 不仅仅是一个聊天框。它是一个 智能体(Agent),意味着它有“手”和“脚”:手:它可以读写你电脑上的文件、执行代码、操控命令行。脚:它...
【保姆级教程】白嫖 Google $300 赠金 + 每月 $10 永久额度,解锁 Gemini 高速生图 API
Google 官方近期向 Gemini Pro/Ultra 用户开放了开发者福利:不仅有 $300 的新用户启动赠金,每个月还会额外赠送 $10 的“低保”额度。通过本教程,你可以 5 分钟搞定结算配置,获取专属 API Ke...
2026年1月29日实测4元成本搞定一年谷歌Gemini pro使用资格,老账号+国内手机+国内VISA卡亲测成功
谷歌最近宣布,面向学生群体的Gemini AI Premium免费计划已延期至2026年4月30日。需要的小伙伴请继续向下查看。1,首先要有干净的节点,最好是住宅IP,并且开启TUN模式2,谷歌帐号语言设置为英...
史上终极 Windows 7 镜像来了?2026 年还能用吗?
Windows 7,被无数用户誉为“白月光”般的操作系统。自 2009 年发布以来,它凭借简洁优雅的界面、出色的稳定性与广泛的软硬件兼容性,成为一代人心中难以替代的经典。即便在 Windows 10 和 11 ...
微软开源 VibeVoice:超长对话合成“黑科技”,让 AI 像人类一样自然对谈
在 AI 语音领域,合成一段简短的导航播报已经不是难事。然而,如果要求 AI 生成一段长达 1 小时、包含多个角色、且充满自然呼吸与停顿的播报或播客,绝大多数现有的 TTS(从文本到语音)系统都...
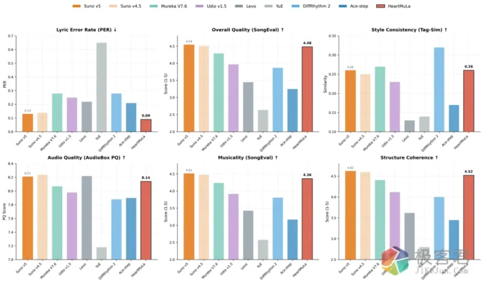
开源版 Suno 来了!免费离线 AI 音乐生成器 HeartMuLa 完整部署教程
无需联网、完全本地运行,支持中英日韩等多语言歌词生成高质量音乐 —— 开源项目 HeartMuLa 正式发布!如果你一直在寻找一个免费、开源、可离线运行的 AI 音乐生成工具,那么由社区推出的 H...
2026年1月最新免费申请EDU教育邮箱图文教程 100%免费
本次教程从申请到成功历时1小时左右,注意要科学上网并有干净的节点下面开始图文教程点击右上角 立即申请2.点击新生 立即加入3.弹出界面选择NO4.使用美国地址生成器:链接直达 随机生成地址信...
智谱AI掀桌子了!GLM-4.7-Flash正式开源:API永久免费,性能超越4.5
2026年1月20日,智谱AI正式发布并开源了其最新一代轻量化旗舰模型 GLM-4.7-Flash。作为GLM-4系列的最新迭代成员,这款模型不仅在性能上实现了跨代级的跃迁,更通过“开源+免费API调用”的双重组...
Honeyview:Windows 上最好用的看图软件,没有之一
在 Windows 系统中,虽然自带的“照片”应用界面越来越现代化,但由于启动速度慢、大图加载卡顿以及对某些专业格式的支持乏力,很多用户依然在寻找更极致的替代方案。如果你追求的是瞬时启动、...
















